紫东太初网站logo
超越O4-mini,多模态大模型终于学会回头“看”:中科院自动化所提出GThinker模型

发布时间: 2025-7-21


尽管多模态大模型在数学、科学等结构化任务中取得了长足进步,但在需要灵活解读视觉信息的通用场景下,其性能提升瓶颈依然显著。现有模型普遍依赖基于知识的思维模式,却缺乏对视觉线索的深度校验与再思考能力,导致在复杂场景下頻繁出错。


为解决这一难题,来自中科院自动化研究所紫东太初大模型研究中心的研究者提出GThinker,一个旨在实现通用多模态推理的新型多模态大模型。GThinker的核心在于其创新的「线索引导式反思(Cue-Guided Rethinking)」模式,它赋予了模型在推理过程中主动校验、修正视觉理解的能力。


通过精心设计的两阶段训练流程,GThinker在极具挑战性的M³CoT综合推理基准上取得了超越了最新的O4-mini模型,并在多个数学及知识推理榜单上展现出SOTA性能,证明了该方法的有效性和泛化能力。目前,论文、数据及模型均已开源。


gthinker_1.png
慢思考的瓶颈:当模型在通用场景“视而不见”

当前,无论是开源的Qwen2.5-VL,还是闭源的GPT-4o,多模态大模型的能力边界正在被不断拓宽。尤其在引入了思维链(CoT)等慢思考策略后,模型在数学、科学等逻辑密集型任务上的表现得到了显著增强。


然而,这些进步并未完全转化为在通用多模态场景下的推理能力。与拥有明确答案和严格逻辑结构的数理任务不同,通用场景(如理解一幅画的寓意、分析复杂的日常情景)往往涉及:


● 高度的视觉依赖:答案强依赖于对图像中多个、甚至有歧义的视觉线索的正确解读。
● 复杂的推理路径:没有固定的解题范式,需要模型根据具体问题灵活组织推理步骤。

现有方法,无论是基于结构化CoT的,还是基于结果奖励强化学习的,都存在明显的局限性。它们在推理中一旦对某个视觉线索产生误判,往往会“一条道走到黑”,缺乏中途“回头看”、修正认知偏差的机制。


gthinker_2.png
GThinker:从“思维链”到“再思考链”

为了打破这一瓶颈,研究团队提出了GThinker,其核心是一种全新的推理模式——“线索引导式反思”(Cue-Guided Rethinking)。该模式将推理过程升级为一种更接近人类思维的“思考-反思-修正”闭环,它不强制规定僵化的推理结构,而是要求模型在自由推理后,对关键视觉线索进行一次系统性的回溯验证。


gthinker_3.png

整个过程分为三个阶段:


1.自由初始推理:模型根据问题和图像内容,自由地进行一步步推理,同时使用标签标记出其所依赖的关键视觉线索。

2.反思触发:在初步推理链完成后,一个反思提示(如“Let's verify each visual cue and its reasoning before finalizing the answer.”)被触发,引导模型进入基于再思考阶段。

3.基于视觉线索的反思:模型逐一回顾所有标记的视觉线索,检查其解释是否存在不一致、错误或遗漏。一旦发现问题,模型会修正或补充对该线索的理解,并基于新的理解重新进行推理,最终得出结论。

gthinker_4.png

以上图为例,GThinker在初步推理中可能将图形误判为“螃蟹”。但在再思考阶段,它会发现“红色三角形更像虾头而非蟹身”、“蓝粉组合更像虾尾而非蟹钳”,从而修正整个推理路径,最终得出正确答案“虾”。这种机制使得GThinker能够有效处理有歧义或误导性的视觉信息,极大地提升了推理的准确性。


两阶段训练法:如何教会模型进行再思考?

为了让模型内化这种强大的反思能力,GThinker设计了一套环环相扣的两阶段训练框架。


gthinker_5.png
模式引导冷启动

不同于数理领域在预训练后自然涌现的反思能力,单纯依靠来结果奖励强化学习“探索”出如此复杂的再思考行为,不仅成本高昂且效率低下。因此,GThinker首先通过监督微调的方式,为模型“冷启动”构建基于视觉线索的再思考能力。


为此,首先通过「多模态迭代式标注」构建了一个包含7K高质量冷启动样本数据集:利用GPT-4o、O1、O3等多个先进模型的互补优势,对覆盖通用、数学、科学三大领域的复杂问题进行迭代式地推理和标注,生成了包含高质量再思考路径的训练数据。


在训练时,GThinker采用「模式引导选择性格式化」策略,仅对那些基座模型会产生视觉误判的样本应用完整的“反思链”格式,其余则保留为标准推理格式。这使得模型能够学会在“需要时”才进行反思,而非机械地执行。


激励强化学习

在掌握“如何思考”以及基于视觉线索进行“再思考”的能力基础上,GThinker 进一步引入基于可验证奖励的强化学习方法,设计混合奖励机制并构建覆盖多种推理类型的多场景训练数据,以持续激励模型在多样化任务中进行主动探索,从而实现思维模式的跨场景泛化迁移。


● 多场景数据构建:广泛收集开源推理数据,并通过embedding聚类的方式进行均衡和多样性采样,从中精选包含约4K条多场景、多任务的强化学习训练数据集,为泛化能力的提升提供数据保障。
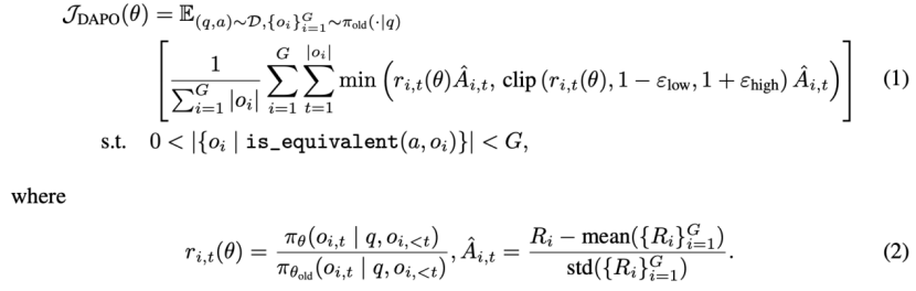
● DAPO训练:相较于GRPO,DAPO采用动态采样的方式,保证batch样本的有效性,并应用无KL和clip higher等策略,更适用于长链思考和探索,使模型学会在不同场景下选择最优推理方式。

gthinker_6.png
● 混合奖励计算:针对选择题、数学题等常见任务类型,分别采用精确匹配、Math-Verify工具校验的方式计算奖励,对于通用场景下常见的开放式简答题,通过加入格式化响应让模型回答归纳到短语或单词的形式,以应用精确匹配的计算方式,从而确保了奖励信号的准确性和进一步拓展支持任务的多样性。

结果

在复杂、多步及多领域的多模态推理基准M3CoT上,GThinker在多个场景的测试中超过当前先进的开源多模态推理模型及O4-mini。


gthinker_7.png

在通用场景(MMStar、RealWorldQA)、多学科场景(MMMU-Pro)及数学基准测试中,GThinker实现了优于或不逊于现有先进模型的表现,证明了GThinker所学的再思考能力并未造成“偏科”,而是实现了整体通用能力提升。


gthinker_8.png

尽管GThinker的数据均为复杂推理任务构建,但经过这一方法及数据的训练后,当前最领先的开源模型依然能够在通用指标上进一步提升。研究团队选取了OpenCompass闭源多模态榜单中10B规模下最新排名前三的开源模型,在学术榜单上进行测试。结果显示,GThinker在这三款模型上均带来约1个百分点左右的平均性能提升,进一步印证了其方法的有效性与泛化能力。


gthinker_9.png
gthinker_10.png
gthinker_11.png

论文标题:

GThinker: Towards General Multimodal Reasoning via Cue-Guided Rethinking


论文地址:

https://arxiv.org/abs/2506.01078